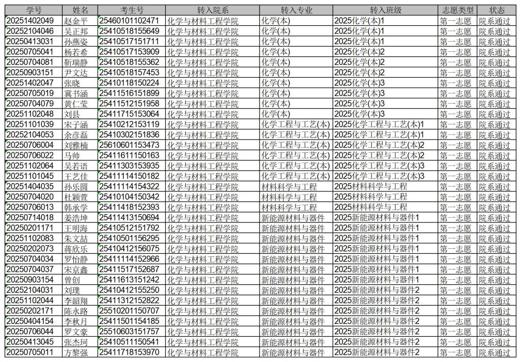
依据《9728太阳集团学生学籍学历管理实施细则(修订)》(新院教〔2023〕26号)和《9728太阳集团学生转学、转专业管理办法(修订)》(新院教〔2023〕25号)文件有关要求,按照学校的统一部署,经学生本人申请、学生所在学院同意,教务处初审,专业考核,学院转专业工作领导小组研究,现就拟接收的转专业学生名单公示如下:

版权所有:中国·太阳成tyc9728(集团SunCityGroup)官方网站-Official website
地址:新乡市金穗大道191号9728太阳集团A15号楼,电话:0373-3682674
